児童・生徒数 【教育・科学技術イノベーションの現況【2023年版】】
2024.05.012-1-3 児童・生徒数
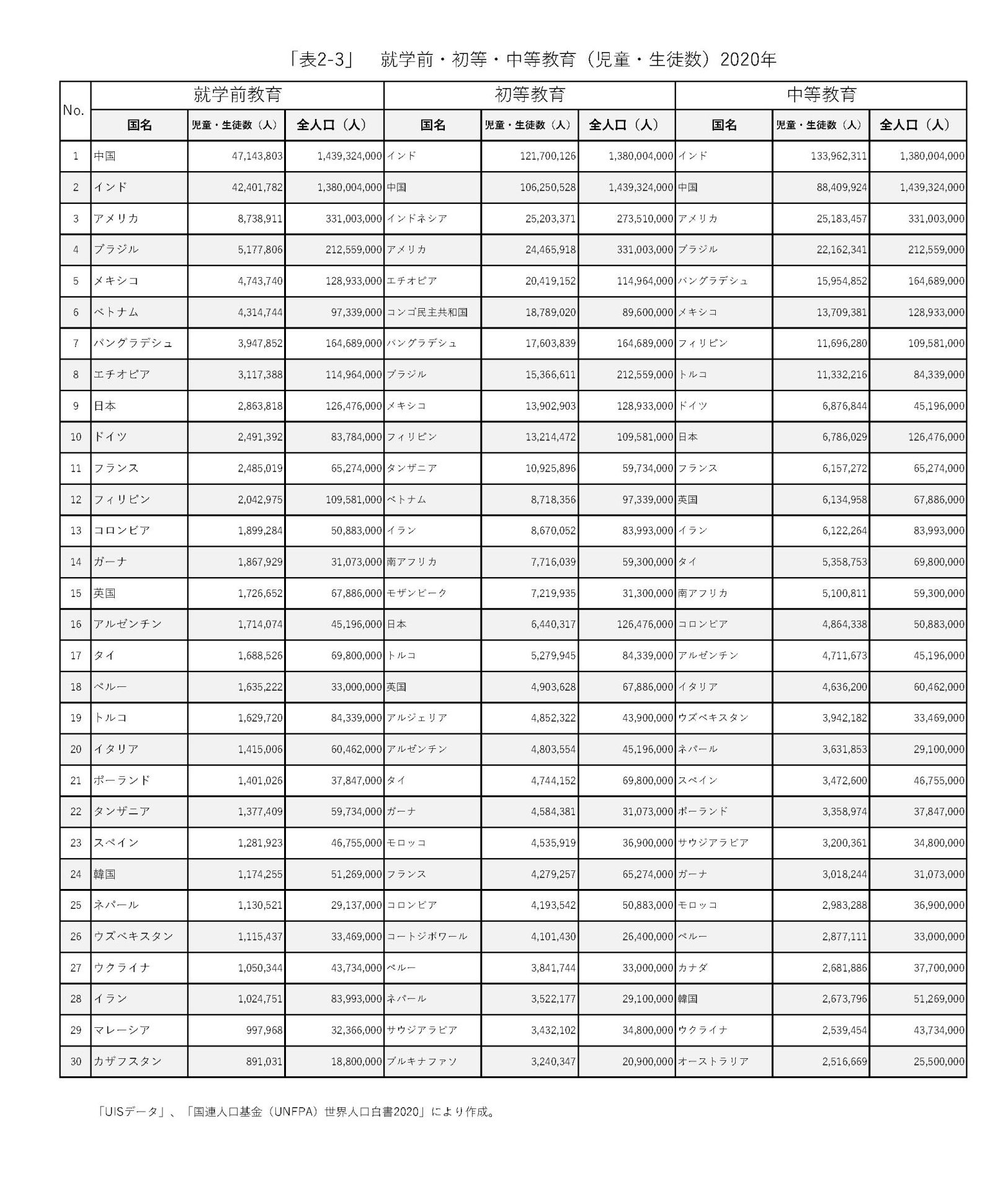
2020年度における諸外国の児童・生徒数「表2-3」をみると、中国及びインドの児童・生徒数が他国に比べて極めて多くなっていることがわかる。両国における児童・生徒数の総和は、日本の全人口に匹敵している。両国はその規模に対応した教育施設・設備の整備や教師任用をしなくてはならないため、巨額な教育投資が必要となる(教育への投資額の章参照)。他方で、教育の地域間格差や教育行政の公平性の確保など、教育政策を実施する上で様々な問題が発生しやすいことが推測される。
現代社会において初等中等教育は義務化されており、就学率はほぼ100%を達成している(就学率の章参照)ため、人口数と各教育段階における就学者数には一定の相関が見られるが、例えば、アメリカやフィリピンなどの入学前1年間の就学前教育を義務化している国では、幼児の数が他国と比べて多く計上され、アメリカでは国別順位が3位、フィリピンでは12位となっている。2~5歳の幼児を対象として就学前教育を行い、且つ3~16歳の13年間の義務教育を実施しているフランスでも同様に児童数では国別順位が24位であるが、幼児数では11位となり、就学前教育の規模が大きくなっている。フィリピンやトルコでは、就学前教育及び初等教育段階に比べて中等教育段階の在学者数が多く、フィリピンは7位、トルコは8位となっている。その理由として原級留置により、該当年齢以外の生徒の在籍が考えられる。また、コンゴ民主共和国において児童の在学者数のみが多い理由としては、同国が初等教育(6年)及び前期中等教育を合わせた8年間を義務教育としているため、初等教育段階に在学者数が集中し、他の教育段階の在学者数が少ないことが考えられる。タンザニアの幼児数の国別順位が22位に対して児童数は10位、モザンビークでは幼児数及び生徒数は30位以内に入らずに児童数のみが15位に位置している。これは、初等教育の7年間(タンザニアは7~14歳、モザンビークでは6~13歳が対象)のみが義務教育となっているため、教育資源が整備された初等教育段階に在学者が集中するからと推測される。また、ウズベキスタン、ウクライナ、カザフスタンなどの旧ソ連邦の教育制度の影響を受けている国では、初等教育の期間が4年と他国よりも短く、中等教育の期間を長くとっている(7~8年)ため、就学前教育及び中等教育で幼児・生徒数が30位以内に入っても初等教育の規模が少ないために30位以内に入っていない。
以上のように、当該国の人口規模と教育制度によって、在学者数の規模や在学者数が集中する教育段階が異なってくる。人口規模の大きな国では在学者の規模も巨大となり、国の財政の中で教育投資をどの程度集中させるか、人口増減や国内外の人口移動に対応した教育予算や政策を国・地域レベルでどのように立案するのか、などが経済・社会の発展を左右する問題となる。他方、原級留置制度を設けている国では、特定の教育段階で在学者数が多くなる状況が見られる。在学者数が増加した場合、彼らに対応した教育資源の投下を行わなくてはならず、限られた教育資源を有効に活用するために、どの程度修得を重視した教育サービスを提供するのかを考慮しなければならないだろう。

注:全人口が約1億人であるベトナムの幼児数は30か国中で6位、児童数は12位となっているが、中等教育段階で生徒数が30位以内に入っていない理由は、前期及び後期を合わせた中等教育全体の生徒数をUISがデータ集計時点で公表していなかったためである。2023年11月現在、UISデータに基づくとベトナムの中等教育段階の生徒数は、922万9,865人となっている。
(参考:文部科学省「世界の学校体系(ウェブサイト版)」(https://www.mext.go.jp/b_menu/shuppan/
sonota/detail/1396836.htm)、2017年10月登録)
(新井 聡)
本稿の内容は文部科学省を代表するものでなく、執筆者が公表資料等を参考に執筆したものである。
本書をご希望の方はお問い合わせください。
こちらからもご購入いただけます(AMAZON)。
©科学技術国際交流センター
本書の著作権は、科学技術国際交流センターと各著者にありますが、本書の内容を教育や科学技術イノベーションの発展のために自由にお使いいただくことを認めます。ただし、本書の引用においては、出典が「教育・科学技術イノベーションの現況【2023年版】」であることを明記いただくようにお願い致します。



