世界大学ランキング 【教育・科学技術イノベーションの現況【2023年版】】
2024.05.162-2-5 世界大学ランキング
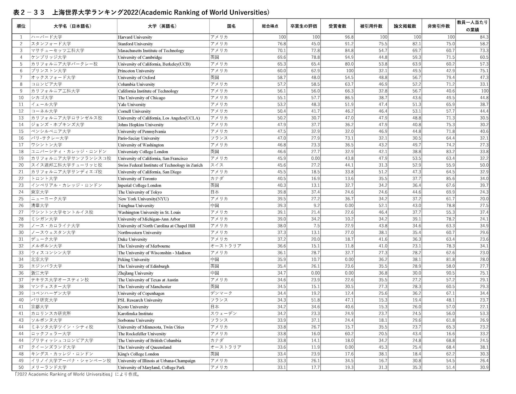
多くの世界大学ランキングの中で、最も長い歴史を持ち、かつ最も影響力があるのは、QS World University Rankings、Times Higher Education (THE) World University Rankings、Academic Ranking of World Universities (上海ランキング)の3つである。これらのランキングは、大学の教育よりも研究実績を主に測定しているが、QSランキングでは学界と雇用者の評判、上海ランキングではノーベル賞を受賞した教員と卒業生も重視している(表2-31、2-32、2-33を参照)。また、世界大学ランキングは、大学や学生にとって重要なことよりも、測定可能な指標に偏っていると批判されており、利用可能なデータの妥当性が疑問視されている。さらに、この種のランキングは、理工医学系や自然・生命科学系の研究成果に偏重している、使われている書誌情報源により、英文の学術誌での出版に偏っていると指摘されている。上海ランキングの場合、大学の規模を補正していないため、大規模大学に有利とも言われている。このような批判にもかかわらず、3大世界大学ランキングは、各国の高等教育政策に影響を及ぼし(例:日本のスーパーグローバル大学創成支援事業)、大学間連携のパートナー選択などで使われているだけでなく、世界の大学の優劣を順位で示すという分かりやすさから社会的な関心を集めている。
QSランキング2024では、日本の4大学(28位東京大学、46位京都大学、80位大阪大学、91位東京工業大学)が100位以内にランクインしている。同様にTHEランキング2023では2大学(39位東京大学、68位京都大学)、上海ランキング2022では2大学(24位東京大学、41位京都大学)がランクインしている。全体的には、100以内に入っている日本の大学の数が減少し、個々の大学の順位も下がる傾向にある。表2-32にある通り、THEランキングに絞って2012年、2017年、2023年に100位以内、200位以内、400位以内にランクインした大学の数を国別に見ると、日本は2012年に16大学が400位以内に入っており、全体で6位だったものが、2023年には6大学まで減り、15位に下がっている。かつてアジアでトップの地位を占め、世界に伍していた日本が中国と韓国に抜かれ、香港や台湾に迫られている状況が分かる。文部科学省のスーパーグローバル大学創成支援事業では、2023年までに世界大学ランキングの100位以内に10大学が入ることを目指したが、その達成は非常に困難なものとなっている。そもそも、ランキングの向上は、研究の質が高まった結果としてもたらされるものであることから、国としては政策的に研究の質を高めることが先決である。ランキングの順位を上げること自体が国策の目的となることについては疑問を呈したい。
表2-34が示す通り、第1位を維持しているアメリカは400位以内に入っている大学の数が2012年の113から2023年の90に減少しているが、その間、400位以内に大学がランクインした国の数が40から45に増えていることから新興国の成長がうかがえる。また、大学総数が40程度のオーストラリアで、2023年に30大学が400位以内に入っているのは興味深い。
世界大学ランキングの順位を上げるためには、多額の資金を大学につぎ込み、高額な給与で著名な研究者を多く採用し、その研究者たちが良質な英語による論文を量産できる研究環境を整えることである。同時に、潤沢な奨学金と研究費の提供を条件に、優秀な博士課程の大学院生を世界中から集めて、上記著名研究者のリサーチ・アシスタントとして研究に従事できるような体制を作ることで、さらに論文が量産できるようになる。しかし、その結果、ランキングの順位が上がり、大学と国の威信が向上したとしても、それが全学生の大半を占める学士課程の学生の教育に良い効果をもたらすかは不確かである。
(太田 浩)
-e1715842257953.jpg)
-e1715842233836.jpg)
-e1715842212246.jpg)
-e1715842193789.jpg)
-scaled-e1715842173259.jpg)
-scaled-e1715842149564.jpg)
-scaled-e1715842129326.jpg)
-scaled.jpg)
本書をご希望の方はお問い合わせください。
こちらからもご購入いただけます(AMAZON)。
©科学技術国際交流センター
本書の著作権は、科学技術国際交流センターと各著者にありますが、本書の内容を教育や科学技術イノベーションの発展のために自由にお使いいただくことを認めます。ただし、本書の引用においては、出典が「教育・科学技術イノベーションの現況【2023年版】」であることを明記いただくようにお願い致します。



