大学院博士学生数 【教育・科学技術イノベーションの現況【2023年版】】
2024.05.213-1-6 大学院博士学生数
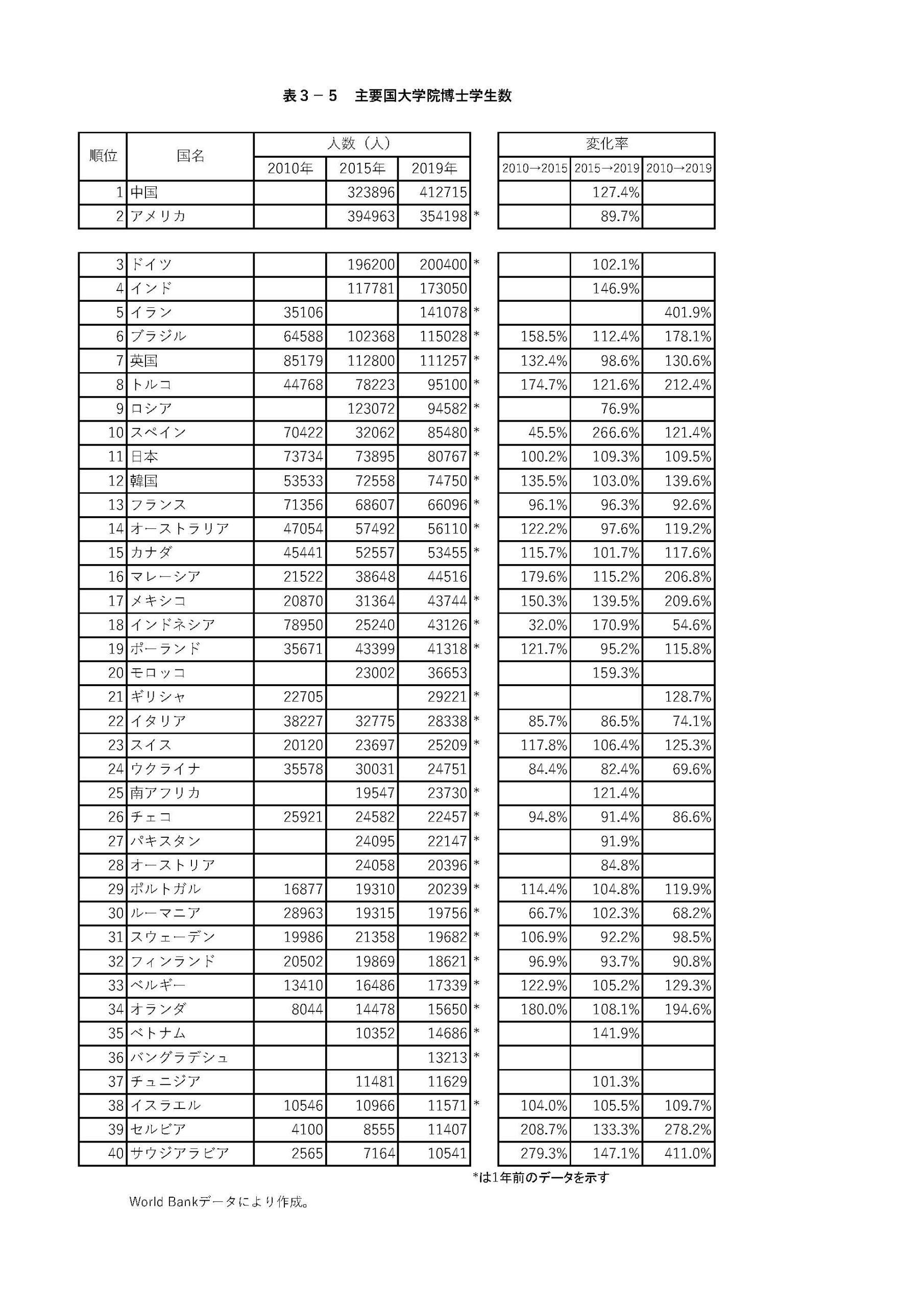
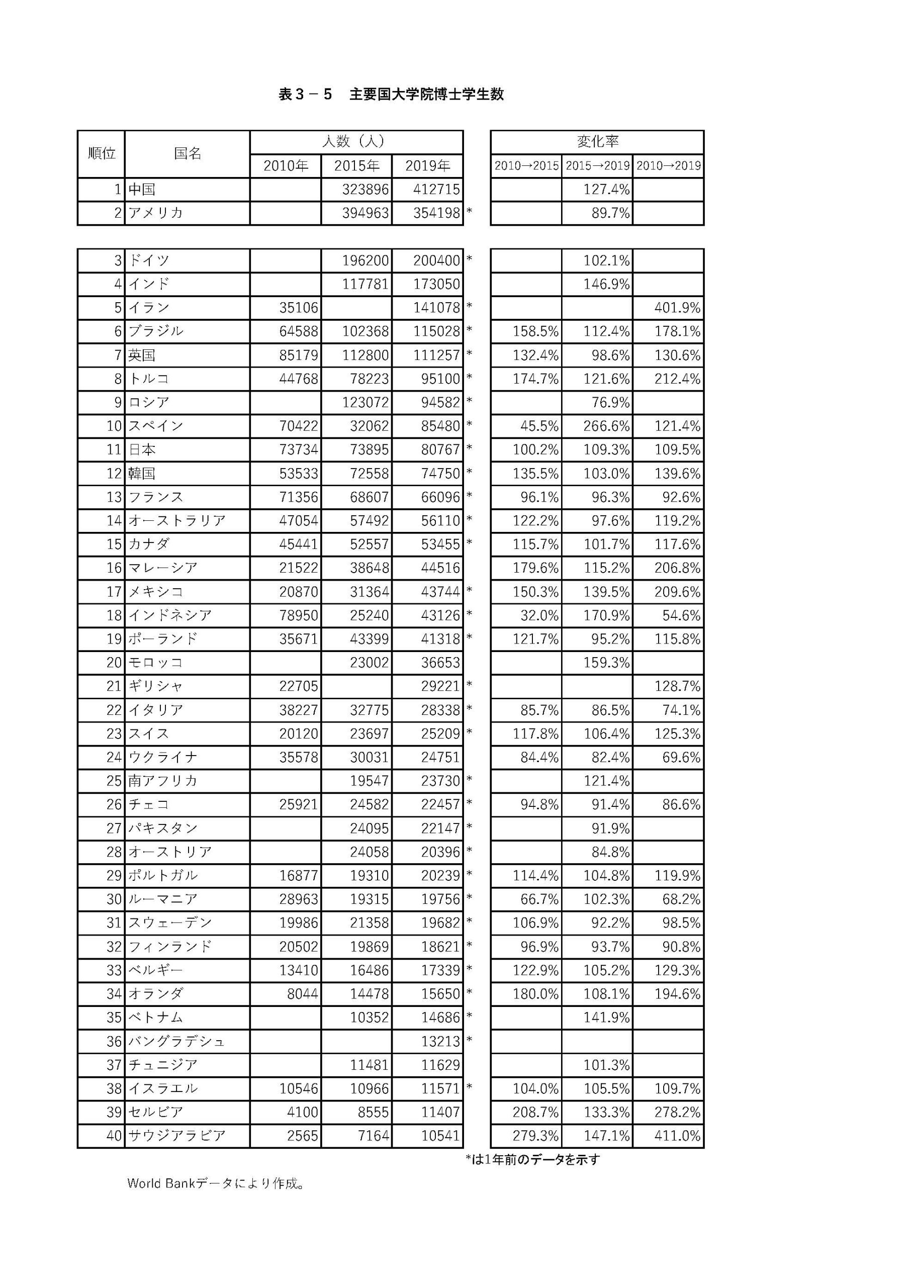
図3-5は世界各国の大学院博士学生数である。対象は自然科学、人文科学などすべての分野を含んでいる。最新の2019年データでは中国が41万人、アメリカが35万人とその他の国々を大きく引き離している。これに続くのがドイツ20万人、インド17万人、イラン14万人、ブラジル12万人、英国11万人、トルコ10万人などであり、インド、イラン、ブラジルなど非欧州国が上位に入っていることが特徴である。日本は8万人で11位の位置にある。
時系列での変化については、2010年データがない国が多い上に、例えばスペインの場合2010年の7.0万人が2015年には3.2万人となり、2019年には8.5万人になるというように変化が激しいものが多く、統計の取り方や大学院制度の変更などによる影響が大きいと考えられる。このことに留意しながら約10年間の変化を概観すると、ブラジル1.8倍、トルコ、マレーシア及びメキシコが2.1倍等と急増しており、これらの非欧州諸国は大学院の強化拡充に積極的に取り組んでいると考えられる。
学生数は当然人口の多い国では大きくなると考えられるので、主要国について人口100万人当りの博士号取得者を比較したのが表3-6である。博士号取得者数と博士学生数は相関していると考えられる。ドイツと英国は博士号取得者比率が高く10年間でも安定している。アメリカは増加傾向にある。日本はドイツや英国の半分以下でかつ10年前に比べて低下していることが懸念される。なお、人口100万人あたりの学士号取得者数は2020年で日本4500人であり、英国の6500人よりは低いがドイツの2900人を大きく上回っている。従って特に日本の場合、大学院の強化・充実が急務であり、潜在的な拡大の余地は充分大きいと考えられる。
(桑原 輝隆)



本書をご希望の方はお問い合わせください。
こちらからもご購入いただけます(AMAZON)。
©科学技術国際交流センター
本書の著作権は、科学技術国際交流センターと各著者にありますが、本書の内容を教育や科学技術イノベーションの発展のために自由にお使いいただくことを認めます。ただし、本書の引用においては、出典が「教育・科学技術イノベーションの現況【2023年版】」であることを明記いただくようにお願い致します。



